@前言
加拿大移民部鑒於市場上充斥大量冒牌移民顧問或專家,於2021.11.23發出指引,提醒消費者小心選擇,免招損失。我們樂意分享以下兩段移民部提供的YouTube影片給大家參考:
Protect yourself against fraud
以下我們做個簡單導讀。
@內容分析
移民部清楚解釋,收費代表人可提供以下服務:
- 根據你的個人背景,提供最適合的方案。
- 解釋清楚項目的流程及時間表。
- 代表你遞交申請,之後作為移民部及申請人之間的溝通橋樑。
- 合法地賣廣告推廣業務。
移民部開宗明義申請人不是必須要聘請代理人,只是提醒消費者勿被無牌顧問欺騙。另外,如果申請人被發現聘請無牌移民代理,輕則退件不受理或拒簽,重則判Misrepresentation,原因是Concealing Representation隱瞞非法代理人。
鼓勵大家參看連結中移民部第一手資料,黃先生會在第4點另行提供詳細解讀。
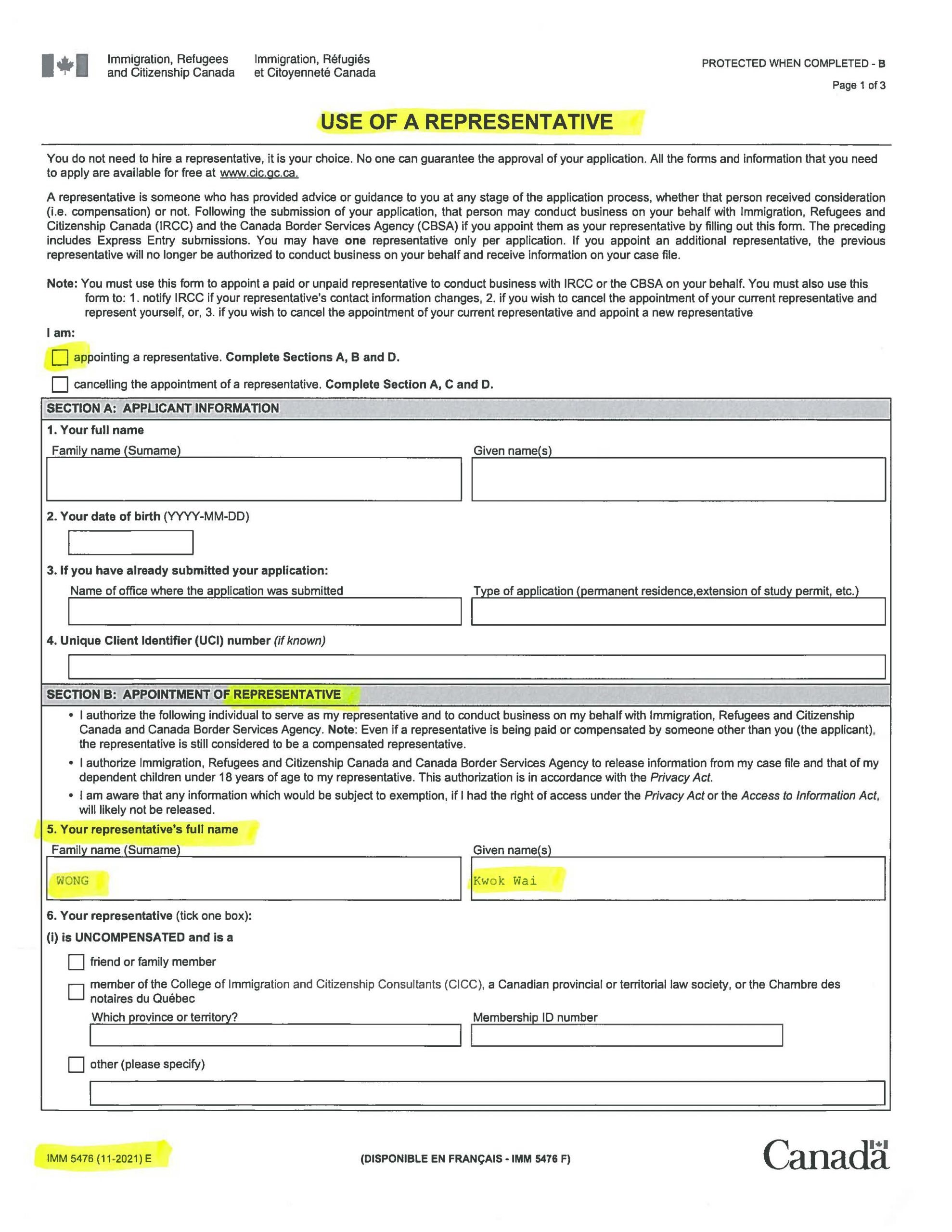
請進入College of Immigration and Citizenship Consultants(CICC)網頁,嘗試搜尋黃先生WONG Kwok Wai,即顯示出黃先生執業牌照編號R421511。發牌制度源於2002,最初發的只是Transitional臨時牌照,第一批永久牌照於2005.12發出,黃先生正是第一批獲發永久牌照的47人之一,時至2022.01,CICC已經有超過8,000個會員了。
- 根據以上第2點,黃先生提供的詳解:
a. 你是怎樣找到那位移民顧問的呢?如果是朋友介紹,那位朋友是否用過該位移民顧問的服務?還是只為賺取介紹費?
b. 諮詢過程中,是否感覺到對方的誠意,亦要留意對方有否吹噓或迴避問題。
c. 要問問對方除了書本理論外,有多少實戰經驗,及可否提供證明。
d. 問對方從事了這行業多久,尤其要問在2019年社會運動前,他們是做甚麼的?作為消費者,可以利用Google起底,例如search「黃國為」看看找到甚麼。
@IMM5476
Use of a Representative Form (IMM 5476)
以下是黃先生的IMM5476 Sample樣板,請留意第2頁頂部選項是「COMPENSATED」,並非第一頁底部的「UNCOMPENSATED」,因為移民部接你的親戚朋友幫百忙的你處理申請事宜,這是對你公平的,但假如有人向你收費卻選擇「UNCOMPENSATED」,這是徹頭徹尾的混水摸魚,這樣的誠信破產你會接受嗎?


@執業資格頒發給個人而非公司
對你負責的應該是有認可資格的專業人士,而不是他所屬的公司。所以,如果當初的聯絡人沒有專業資格,就不應該隨便提供意見,應該由附屬該公司的持牌人士處理。另外,如果該公司聲稱與加方有律師或持牌顧問聯繫,應該安排這某某與你會面,讓你放心。
所以,如果當初的聯絡人支吾以對,帶你遊花園,不能安排那某某與你會面,你是否應該接受?
又或者該公司可安排免費諮詢,你仍要確認與你諮詢的人有認可資格,而不是隨便找個人跟你吹水,如果連這些基本誠意都做不到,你又怎能相信這些人會真心為你服務?
再或者,有些諮詢人話自己是公司老闆,以獲取客人的信任,但要注意,老闆和專業並沒有必然關係,那個「老闆」可能只是普通投資者而已。講到尾,你還是要向你的諮詢人索取專業資格證明。
如想了解更多,請參考我們以下文章:
@移民部的用意
移民部發出這指引,目的不是搞大台,為CICC會員招攬客戶,而是為了保障消費者,讓他們能夠安心把自己的移民大計交托認可專業人士手中。如果他們違反職業操守,有CICC代表苦主討回公道。相反,幫襯無牌移民顧問就有冤無路訴。
@結論
自2020起,多個國家為香港人提供特惠移民方案,因而激發香港大量無牌移民顧問湧現,香港人必須加倍小心,提防騙徒,明明上救生艇,點知上錯賊船。
起來,不願做奴隸的人們!
